본문 바로가기 주메뉴 바로가기
닫기
产品简介

Reactive Silicone Fluids

反应性硅低聚物是线性结构,是相对低分子量的流体,在树脂的末端或侧链上具有多种有机作用器。由于作用器的种类和结构特点,可作为树脂本身或高分子改质剂使用。因为是产品的多样性、低分子量,所以商用性优秀,反应点多,可以形成三维网状结构,因此在广泛用途、领域的活用性正在增加。

Reactive Silicone Fluids
Functional Group Product Name Type CAS NO. MSDS TDS Structure
Monomer HMM Tetramethyldisiloxane 3277-26-7
HMDZ Hexamethyldisilazane 999-97-3
VMM 1,3-Divinyltetramethyldisiloxane 2627-95-4
Hydroxy RF-MOH Mono Hydroxy Terminated 102782-86-5
Hydride RF-HD Side Chain 68037-59-2
Dual End 70900-21-9
Hybrid 69013-23-6
Vinyl RF-VN Side Chain 67762-94-1
Dual End 68083-19-2
Alkoxy RF-AK Dual End 142982-20-5
Dual End
Di Vinyl
SLPU-MC3370 Dual End
Polyurethane
backbone
Amino RF-AM Side Chain
Dual End
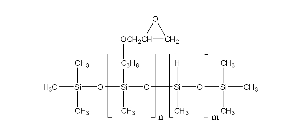
Epoxy RF-EX Side Chain
Dual End
Phenyl MF-PN Side Chain
Acryl&methacryl RF-MAC Side Chain
Dual End
Mercapto propyl RF-MS Side Chain